FLOW-3D中国分公司/三维流动贸易(上海)有限公司

3D打印在铸造新型浇口设计中的应用


Santosh Reddy Samaa, Tony Badamob, Paul Lynchc, Guha Manogharana,⁎
a Department of Mechanical and Nuclear Engineering, Pennsylvania State University, State College, PA, 16801, United States
b Hazleton Casting Company, Hazleton, PA, 18202, United States
c Department of Industrial Engineering, Penn State Behrend, Erie, PA, 16563, United States
翻译自Additive Manufacturing Volume 25, January 2019, Pages 563-578


1. 前言


2017年,金属铸造行业的市场规模为202.3亿美元,预计年均增长率为8.87%,到2025年将达到399.4亿美元[1]。工程铸件约占制成品和资本设备总量的90%[2]。在美国,金属铸造厂数量超过2000家,从业人员超过20万人[2]。尽管砂型铸造厂占据了约80%的铸造市场份额[3],但全球范围内的砂型铸造企业普遍面临交付周期长、模具成本高以及生产灵活性不足等问题。众所周知,制模环节是砂型铸造流程中的关键瓶颈,且在小批量生产中通常是成本最高的阶段。由于需要从压实砂型中取出模型以形成型腔,传统砂型铸造在几何形状设计方面受到显著限制。随着工业和关键任务应用中金属零部件结构日益复杂,亟需引入新的制造技术。

三维砂型打印(3D Sand Printing,3DSP)是一种典型增材制造技术(Additive Manufacturing,AM)。其最新进展通过逐层打印砂型与砂芯,有效弥补了传统砂型铸造在设计自由度方面的不足[4,5]。3D砂型打印属于黏结剂喷射式的增材制造工艺,其基本原理是将铸造用砂逐层铺展,并依据模具和砂芯的计算机辅助设计(CAD)模型选择性喷射黏结剂(如呋喃树脂),从而实现砂型与砂芯的一体化成形。该技术无需传统木模,即可直接制造复杂模具和砂芯,为铸造工艺提供了一种全新的解决方案[4]。

快速发展的增材制造技术为金属铸造行业带来了诸多机遇。借助不同的增材制造工艺和材料,可以制备复杂的软模和硬模,如夹具、工装以及模型等[6]。在砂型铸造中,模型可通过材料挤出或光固化成形技术直接打印塑料模型[5],也可通过打印蜡模用于熔模铸造[7]。图1展示利用3D砂型打印所提供的设计自由度推动金属铸造应用发展的整体研究框架。

模具充型过程是直接影响铸件质量的关键物理现象。充型过程通常涉及液态金属前沿在型腔内的自由表面流动[8]。在此过程中,液态金属的自由表面暴露于空气和水分环境中,容易发生氧化反应,从而在熔体表面形成氧化膜[9]。当干燥的氧化膜在流动过程中发生折叠时,会生成有害的双层膜或双层氧化膜缺陷[10,11]。这些双层膜在铸件中类似于微裂纹的存在,极易成为缺陷源并降低铸件的力学性能[12]。

Placeholder image

图1 3D打印砂型研究的概念架构


随着紊流强度的增加,双层膜的形成速率也随之提高,这是由于氧化层在流动过程中不断经历拉伸、破裂与再生[13,14]。各类夹带缺陷(如表面氧化物、氧化物夹杂、砂粒夹杂、气孔、气泡以及双层膜等)会显著影响铸件的力学性能[15–18]。已有研究表明,氧化膜会降低铸件的抗拉强度[19–21]、疲劳寿命[22]、断裂强度[23]以及可加工性[24,25],同时还可能成为缩孔[26]和氢气孔[27]的形核位置。因此,减少夹带缺陷至关重要,因为它们约占铸件有效缺陷的80%[28]。为获得废品率最低、组织均匀的高质量铸件,关键在于采用合理的浇注系统,通过将液态金属在浇口处的流速控制在0.5 m/s以下[29,30],从而有效调控填充过程,提高产品质量和铸造生产效率。

由于浇口直接控制铸件的充型速率,浇口被认为是浇注系统中“最重要的部件”[31],也是“最关键的组成部分”[32]。在充型过程中,若浇口未被完全充满,液态金属下落会形成喷射流[33],从而引发气体夹带[34,35]。因此,传统设计通常通过在浇口底部形成阻塞,并改变浇口出口的横截面积来控制模腔的充型速率[36]。然而,坎贝尔指出,理想的浇注系统设计应充分利用浇口的整个长度来控制金属流速[8]。他同时指出:“尽管方法工程师多年来一直在正确地进行相关计算,但人们往往只将浇口出口视为唯一的阻塞位置”[8]。本研究认为,通过合理设计,可以实现对整个浇口长度内金属流速的有效控制,而3D砂型打印技术为这一理念的实现提供了新的可能性。因此,针对3D砂型打印工艺,有必要重新设计浇注系统,因为该工艺不像传统模具制造流程那样受到严格的制模限制。

本研究建立了两种复杂浇口轮廓的数值模型,并通过实验验证其对铸造性能的影响。文中提出了一种利用“混合成形”方法制造复杂锥形螺旋浇口通道(Conical Helical Sprue Channel,CHSC)的新方案。第二部分简要回顾了已有关于浇注系统优化的研究文献;第三部分详细介绍了新型复杂浇口概念的数值建模方法及优化算法;第四部分阐述了实验设计,包括3D砂型打印模具与铸件的制造流程;第五部分给出了数值模拟与实验结果;第六部分对结果进行了深入分析与讨论;最后,第七部分总结了本研究的主要结论,并对未来的研究方向进行了展望。


2. 文献回顾


上个世纪以来,研究人员基于流体力学基本原理,对直浇口构型及其相关参数开展了大量实验研究。现有浇注系统设计方面的知识主要来源于反复试验[36,37]、水模型实验[35,38,39]以及近年来计算机数值模拟工具的应用[40–42]。由于大多数液态金属的运动黏度与水相近[35,37,38,43],许多研究采用透明模具(通常由有机玻璃[38]或丙烯酸材料[44]制成)进行水模型实验,以直观观察模具内的流动行为。通过在充型过程中进行实时X射线成像,可以实现对金属流动更加精确的可视化,从而弥补水模型实验的不足[45,46]。然而,该类系统成本高昂,且主要提供定性分析结果。

在数值模拟方面,自由表面流动的界面捕捉通常采用欧拉方法(如水平集法和流体体积法(VOF))[47],或拉格朗日方法(如光滑粒子流体动力学,SPH)[48]。目前,大多数商业铸造仿真软件(如 MAGMAsoft、FLOW-3D)均采用VOF方法对铸件充型过程进行模拟。针对浇注系统的优化研究,通常结合计算建模、统计分析或数学优化算法,或采用多种方法的综合策略。数值模拟结果表明,采用三个浇口、自旋结构以及气泡抑制设计可有效降低铸钢熔体的紊流强度[49]。通过将序列二次规划(SQP)直接梯度优化算法与流动模拟相结合,可实现铝合金浇道深度和坡度的优化设计[50]。利用Taguchi统计方法对浇口高度和宽度进行优化,可在降低孔隙率和充型速度的同时提高铸件圆柱体的成品率[42]。此外,也有研究采用基于帕累托前沿的多目标优化方法,对浇口和浇道的几何描述参数(如半径)进行优化,以最小化液态金属流速,并结合目标演化算法实现优化求解[51]。

除对传统浇注系统参数的优化外,已有文献还报道了通过改进浇口结构设计以减少氧化膜形成的研究成果。一项研究表明,在浇口与流道连接处采用双垂直弯折的偏置浇口结构,可有效降低熔体湍流,并将浇口内流速控制在0.5 m/s以下[33]。然而,流体在双垂直弯折处更易形成低压涡流,该涡流与熔体流动相互作用,反而可能促进氧化物的生成[33,52]。另一项研究通过在浇口与流道连接处采用平滑的L形曲率结构,在降低湍流的同时避免了有害氧化膜的形成,从而验证了这一设计思路的有效性[53]。此外,有研究利用多射流增材制造技术,在浇口与流道连接处制造涡流槽结构,显著改善了铸件的力学性能和显微组织[54]。

如图1所示,3D砂型打印工艺所具备的高度形状复杂性,为零件优化和铸造性能优化提供了新的可能性。在零件优化方面,已有研究证实了通过3D砂型打印制造复杂拓扑优化结构的可行性[5]。同时,通过集成功能部件可实现显著的轻量化效果,例如将排气歧管与涡轮壳体底部几何形状进行一体化设计,从而消除传统法兰结构。近期研究还表明,利用3D砂型打印工艺结合非常规浇注和补缩系统,可显著优化铸造性能[52]。在该工艺条件下,铸造方向可独立于传统模具制造约束进行优化,从而获得更优的铸造效果,并可实现数值优化设计的半球形冒口结构。如图1所示,具有侧向出口、多浇口以及复杂流道和浇口结构的浇注盆,有助于更有效地控制熔体湍流。此外,打印复杂模具和砂芯的能力还可用于调控铸造过程中的冷却行为,例如通过采用壳桁架模具,根据特定铸造需求调整冷却速率[55]。

目前,水模型实验和有限的X射线成像验证通常需要制作原型模具,而这些模具不仅成本高昂,而且在几何形状方面的灵活性有限,这使得其在分析和优化浇注方案时面临较大的时间和成本挑战。基于此,本研究旨在充分利用3D砂型打印技术的“快速制造”优势,探索具有新颖设计理念的最优浇注系统,这类系统通过传统制造工艺极难实现。本文检验并验证了基于铸造流体力学原理的优化算法在实现理想充型条件方面的适用性,并结合数值模拟、铸件缺陷表征以及力学性能测试等方法开展系统研究。研究结果表明,借助3D砂型打印技术所提供的高度设计自由度,可针对特定铸件应用实现数值优化的浇注系统设计,从而显著降低缺陷并获得高质量铸件。


3. 浇铸模型


基于铸造流体力学领域已有的成熟研究成果,为减少液态金属充型过程中的夹带缺陷,理想的浇口设计应满足以下三个基本条件:

(1)浇口处液态金属的流速应小于或等于临界速度(0.5 m/s),即需有效限制浇口底部的流速[8,16,29,30];
(2)在满足流速控制要求的前提下,应尽可能缩短浇口的总长度,以降低金属在流动过程中的热损失[56],同时为形成的气泡提供足够的逸出时间[35];
(3)应避免浇口轮廓本身或浇口与流道连接处出现几何突变,以防止局部加速、分离和涡流的产生[8,16]。


3.1 一般流体下落后的速度:


浇口内的流体流动可近似视为在具有一定表面粗糙度的圆形通道内发生的牛顿流体流动,并需考虑壁面摩擦对流动行为的影响。本研究建立最优数值模型的核心目标在于合理利用浇口壁面与液态金属之间的摩擦效应,使熔体在浇口中的流速逐步衰减,并在浇口出口处降低至临界速度以下。表1给出了浇口设计过程中所涉及各变量的命名及其物理含义。

如图2所示,在通用流体条件下,假设液态金属在浇口内沿垂直方向下落,其特征深度为 t,对应的高度差为 dt。在忽略压缩性影响的前提下,可基于伯努利原理对该过程进行分析,从而建立流体速度、位置高度以及能量损失之间的定量关系。

Placeholder image

表1 浇口设计符号说明

Placeholder image Placeholder image

图2 深度为 t 处、增量高度为 dt 的一般金属下落示意

由摩擦引起的水头损失 (h_{f,dt}) 采用式(2)进行计算,该表达式引自文献[36]。需要指出的是,目前尚缺乏能够适用于一般三维曲率通道的弯曲水头损失系数的解析关系式,因此在本研究中未将该部分损失单独考虑。将相关参数代入式(2),可得到达西–魏斯巴赫(Darcy–Weisbach)方程。由于浇注系统中的金属流动处于明显的湍流状态(Re ≫ 2000),该方程适用于本研究的分析条件。

摩擦因子采用穆迪摩擦系数的解析近似形式[57]进行计算,具体通过式(3)所示的哈兰德(Haaland)方程[58]获得。对于任意给定的浇口轮廓,假设浇口顶部的金属入口速度为恒定值,则在任意深度处的金属流速可由式(1)计算得到。为了确定浇口底部的金属速度,需要沿浇口长度方向对式(1)进行多次增量计算,即在每一个高度增量 dt 处逐步求解并累积,从而获得浇口底部的最终流速。

Placeholder image

3.2 数学描述


本研究选取了锥形螺旋线浇口轮廓和抛物线浇口轮廓两种复杂几何形式进行分析[52]。初步数值模拟结果表明,与抛物线轮廓相比,锥形螺旋线轮廓在控制金属流速和降低夹带缺陷方面表现出更优的性能,因此被认为是更为理想的浇口结构形式。本节将重点介绍这两种复杂浇口轮廓的数学参数化描述方法,并给出相应的浇口长度计算公式。


3.2.1 锥形螺旋线浇口铸造(CHSC)

锥形螺旋线浇口通道(Conical Helical Sprue Channel,CHSC)的几何形态可通过参数方程进行定义。其空间轮廓如图3所示,对应的参数方程见式(4)。该参数化描述能够同时表征浇口沿轴向的高度变化以及沿径向逐渐收缩的锥形特征,从而为后续浇口长度计算、流速分析以及数值优化提供数学基础。

Placeholder image Placeholder image

图3 通用锥形螺旋浇口轮廓(CHSC)

其中,( r ) 与包络锥体的半径成正比,其比例常数为浇口总高度的倒数;参数 ( \alpha ) 表示螺旋线的角频率,用以表征螺旋线在轴向方向上的旋转密度。对于锥形螺旋线浇口轮廓,从浇口顶部到深度为 ( t ) 处的曲线长度可通过公式(5)进行计算:

Placeholder image

角频率的上限由金属单次下落高度不超过临界下落高度来确定,其数学表达式如公式(6)所示。该临界下落高度等同于金属的静态自由下落高度;对大多数金属材料而言,其典型取值范围为 10–15 mm[8,16]。

Placeholder image

3.2.2 抛物线浇注(PSC)

如图4所示,抛物线浇口轮廓的原点固定于浇口管的底部。该抛物线浇口的几何形态可通过参数方程进行描述,其具体表达式见式(7)。该参数化方法能够完整定义抛物线浇口沿轴向和径向的曲线形态,为浇口长度计算、流体动力学分析及数值优化提供基础。

Placeholder image Placeholder image

图4 以浇注铸件底部为原点的抛物线浇注口轮廓(PSC)

在该抛物线轮廓中,参数 (a) 和 (b) 经过优化,以确定顶端位置 (x(0))。从浇口顶部到曲线上任意点的长度可通过公式(8)计算得到:

Placeholder image

其中,(L(y)) 表示从浇口底部到曲线上任意点的曲线长度;(x(t)) 表示轮廓线在距浇口顶部深度 (t) 处的横向坐标。两者的具体定义分别见公式(9)和公式(10):

Placeholder image

3.3 优化算法


本文提出了一种基于约束条件的优化算法,旨在在满足目标速度要求的前提下,最小化浇口曲线长度,从而降低金属流动过程中的热损失。该优化问题可表述为:
目标:最小化浇口曲线 (s(t)) 的总长度。

约束:

Placeholder image

变量定义:

本文利用 MATLAB 内置的 fmincon 函数实现了序列二次规划(SQP)约束优化算法。选择 SQP 方法的原因在于,其在门控系统优化以及基于 VOF 方法的 CFD 分析中已被广泛验证,并且与实际实验结果高度一致[50,59]。图5所示流程图概括了整个优化过程。液态金属速度 (v) 的计算遵循第3.1节的方法,而浇口轮廓长度 (s(t)) 的确定则基于第3.2节的参数化描述。

Placeholder image

图5 3D砂模打印浇口设计优化算法流程图


3.4 收敛性研究


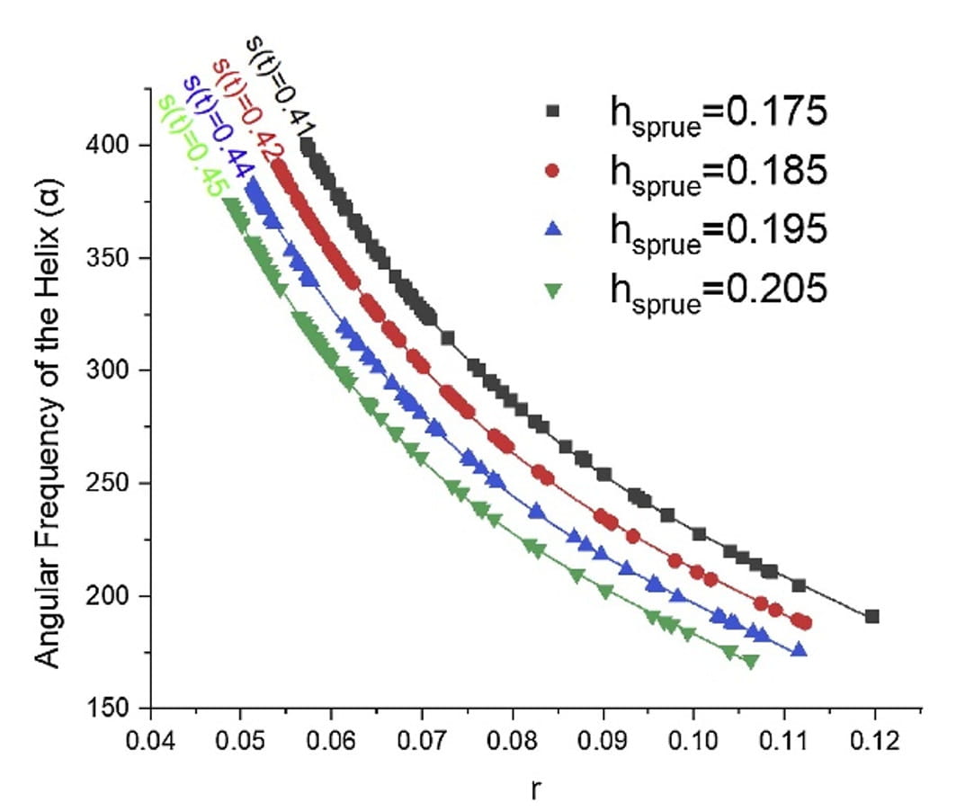
本节探讨在给定浇注条件下,所提出优化算法是否能够收敛到唯一解。对于抛物线型浇口(PSC),无论初始条件如何,均存在一个唯一参数解,可使优化目标(最小曲线长度)实现最优值。

然而,对于锥形螺旋型浇口(CHSC),虽然曲线存在唯一的最优长度,但参数 (a) 和 (r) 的组合方式可有无限多种,均可达到该最优曲线长度。图6展示了不同浇口高度条件下,(a) 与 (r) 的多种组合方式如何实现相同的最优长度。随着浇口高度的增加,浇口曲线长度 (s(t)) 也随之增加。如果在水头损失计算中纳入弯曲摩擦损失系数 (K_b),则可进一步得到唯一解,这一内容将在后续工作中进行深入探讨。

在本研究中,考虑到弯曲次数最多(即 (a) 值较大或 (r) 值较小)的型材可能增加摩擦损失,因此将其视为实际可行的最佳解。此外,需要指出的是,锥螺旋轮廓的三维通道是通过沿优化后的锥螺旋空间曲线挤压锥形圆形截面生成的。因此,在选择全局最优参数时,制造导向的设计要求不仅要考虑参数最大化,同时还需保证沿锥螺旋空间曲线制造圆形截面的可行性。

Placeholder image

图6 CHSC 优化变量的收敛性分析(单位:毫米)


4. 实验步骤


4.1 模具设计


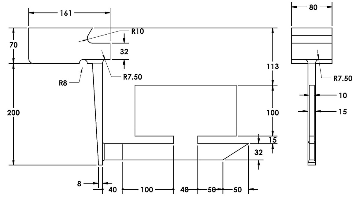
本研究选用 17-4 不锈钢合金(含 3 wt.% Cu 的马氏体不锈钢)作为铸造材料,分别采用三种浇注工艺进行实验:直浇铸(SSC)、抛物线浇注铸造(PSC)以及锥螺旋浇注铸造(CHSC)。17-4 不锈钢因其优异的耐腐蚀性和良好的力学性能,广泛应用于耐腐蚀零部件制造。以下小节将详细介绍各工艺的最佳浇注道设计参数及模具尺寸。


4.1.1 浇口设计

基准铸件及浇注系统的几何形状参考了 Yang 等人[33]的研究,浇口高度统一设定为 185 mm[33]。浇注盆底部采用倒扣设计,以减少液态金属冲击飞溅;浇口盖的设置则可防止金属直接落入浇口[16]。与传统模具制造方法[16]相比,采用 3D 砂模打印技术能够更方便且经济地实现这些附加设计。基于文献[33]的设计,本研究对浇注盆进行了优化修改,新设计如图7所示。值得注意的是,传统直浇口设计[33]中设有浇口槽,而 PSC 与 CHSC 浇注系统则未设置浇口槽,这与 Campbell[16]的建议相符。


Placeholder image

图7 各种浇注道设计中浇注盆、流道、浇口和铸件尺寸保持恒定

根据 ANSI/ASME B46.1 标准[60],在模具清洗后使用 C-9 铸造微表面粗糙度仪测得,摩擦系数公式所需的模具壁面平均粗糙度 (e) 约为 5 μm。模具清洗是铸造厂在浇注前的常规操作,通常通过在模具表面涂覆醇基液体并点燃,使其与液态金属反应,从而改善模具表面质量。在本研究中,浇注前使用由 Lancaster Foundry Supply Company 提供的 ASK Chemicals 模具清洁剂进行处理。

液态 17-4 不锈钢的密度为 7030 kg/m³,运动黏度为 90 μm²/s[61]。依据第3节中提出的优化算法,PSC 与 CHSC 浇注道的长度 (s(t)) 分别为 372 mm 和 423 mm,而 SSC 的浇注道长度为 185 mm[33]。若在水头损失计算中纳入弯曲摩擦损失系数 (K_b),CHSC 的最佳浇注道长度可能会更短。不同浇口配置的详细参数见表2。

Placeholder image

为了设计浇注系统的后续组件(如流道和浇口的几何形状),需要进行详细分析。在 SolidCAST 软件[62]的浇注系统设计向导中,采用了 1.5:4:6 的浇注比及 10% 的摩擦损失系数,其结果也列于表2。为了单独评估所提出的浇口设计效果,三种浇注配置的浇注槽、流道、排气孔以及铸件几何形状均保持一致,尺寸如图7所示。


4.1.2 模具制造与铸造工艺

模具使用 Viridis3D RAM 打印机制造,打印层厚为 0.4 mm。打印过程中采用了 Viridis3D 生产的 ViriCast 粉末和 CSTRed 黏结剂。通过筛分分析可知,ViriCast 粉末的 AFS 粒径细度数为 216[63]。为改善金属流动并使其由无序变为平滑[45],模具清洁剂被涂覆在模具所有内表面。打印完成后,将模具型腔内的松散砂排出。对于锥形螺旋通道,由于通道较窄,设计时特别考虑了排砂因素,以便顺利清除松散砂。图8展示了多种从锥形螺旋浇口排出松散砂的方法。

Placeholder image

图8 制造 CHSC 的多种技术:(1) 垂直分模浇口与型芯组件的混合成型;(2) 水平分型线的混合成型;(3) 垂直分型线的 3D 打印模具;(4) 水平分型线的 3D 打印模具

图8中的类别 (1) 和 (2) 均属于“混合成型”概念。该术语由作者提出,用于描述将 3D 砂模打印产品整合进传统模具,以制造铸件的工艺技术。混合成型为制造提供了一个平台,使 3D 砂模打印的高设计复杂性与快速生产能力能够与传统模具制造工具(如现有木模或型芯盒)结合使用。

为说明该方法,本研究制作了一个传统木制模型以及一个独立的 3D 砂模打印浇口,并将两者组装。类别 (1) 中,通过将 CHSC 设计为三件式系统以便于去除残留砂粒,其中型芯切割成锥形螺旋结构;类别 (2) 中,通过在浇口长度方向设置多条水平分型线以去除残余砂粒。类别 (3) 和 (4) 则完全使用 3D 砂模打印模具,不依赖任何传统模型或型芯,并采用垂直或水平分型线方向。

材料表征实验仅针对类别 (1) 制成的铸件进行。液态 17-4 不锈钢在 2950°F(1580°C)下浇注,并使用秒表记录浇注时间:PSC 为 3.1 秒,SSC 为 4 秒,CHSC 为 5.7 秒。图9展示了三种不同浇注道配置铸件在脱模和喷砂处理后的示例。为了单独评估新型浇注道设计的效果,本研究未采用铸后热处理工艺。


Placeholder image

图9 17-4 不锈钢合金铸件:(a) 直浇口 (SSC);(b) 抛物线浇口铸造 (PSC); (c) 锥形螺旋浇口铸造 (CHSC)


4.2 流动建模与表征


本研究采用 FLOW-3D CAST V4.2(Flow Science)软件进行计算流体流动建模,所有模型使用相同的入口条件、流体参数和边界条件。该软件求解纳维–斯托克斯方程,并采用 VOF 方法,其模拟结果与射线照相法揭示的实际金属流动模式一致[19]。在三种浇口设计中,液态金属进入浇注盆的入口流量均保持恒定,为 225 cm³/s。在铸件平面上,浇口上方 5 mm 处设置探针,用于计算空气夹带量(详见 5.1 节)。

通常通过破坏性和非破坏性测试作为质量控制手段检测铸件内部缺陷。本研究使用 GE v|tome|x 计算机断层扫描(CT)系统,配备 270 kV、300 μA 的 X 射线束,分辨率为 112 μm/体素,用于检测铸件缺陷。所有 CT 扫描图像经过分割,并裁剪出统一大小的 1651 × 751 × 53 体素子体积,以消除表面伪影,并进行定量影像分析。子体积数据转换为 16 位图像,灰阶值低于 30,000 的区域被定义为铸造缺陷。作者认为,这是首个利用 CT 技术量化铸造缺陷来评估浇注系统的研究。

为研究浇注系统对微观结构的影响,从每块加工后的铸件相同位置切取试样,使用水刀切割制备。随后使用钻石研磨膜和 Greenlube 润滑剂,在 Allied Multiprep 系统中将试样抛光至 1 μm 表面粗糙度。利用配备 EDS 功能的 Thermo Fisher (FEI) Q250 环境扫描电子显微镜(SEM)对每个试样进行 10 次扫描,观察表面形貌,同时进行 EDS 分析,以量化铸造缺陷及基体合金元素组成。

为评估浇注系统对机械强度的影响,依据 ASTM E290 标准[64]进行三点弯曲试验。从每个铸件中加工出 4 个尺寸为 60 × 12 × 4.25 mm³ 的试样,在 MTS Qtest Elite 100 试验机上进行测试。边缘效应(边缘试样强度高于中心试样)未纳入考虑[54]。图10展示了用于弯曲试验及 SEM/EDS 微观分析的试样在铸件中的位置

Placeholder image

图10 (a) 四个弯曲试样(60 × 12 × 4.25 mm³)的位置及每个铸件中加工的 SEM/EDS 微观组织试样(单位:毫米); (b) 从 CHSC 铸件加工的弯曲试样


5. 结果与讨论


5.1 计算模拟


模具填充模拟结果显示,如图11所示,SSC 浇注容易产生严重的熔体湍流,因为金属流速超出临界速度条件。通过图12和图13可以观察到,PSC 和 CHSC 浇注在浇口底部实现了较为平稳的金属流动,并且完全满足临界速度要求。在 PSC 和 CHSC 的设计概念中,金属前缘与流道保持平行,使整个填充过程维持层流状态。

相比之下,在 SSC 浇注中,金属前缘表现出喷泉状和折迭状流动,这与先前研究结果一致[50,65,66],这些研究均指出此类流动会导致大量氧化膜的形成。

Placeholder image

图 11. 不同时间下直浇口铸件的填充预测

Placeholder image

图 12. 不同时间下拋物线浇注铸件的填充预测

Placeholder image

图 13. 不同时间下锥形螺旋浇注铸件的填充预测

图 14 比较了三种浇口设计流动模拟中,位于浇口上方 5 mm 处相同位置的虚拟探针所采集的熔体中空气的体积百分比。结果表明,数值优化后的浇口几何形状透过限制湍流显著降低了空气的截留量。空气截留率曲线中的特征峰值是由于模具内流体的再循环造成的,其强度随湍流强度的增加而增加。

Placeholder image

图 14. 比较三个浇口铸件在相同位置用探针测量的夹带空气体积分数


5.2 CT扫描


如4.3节所述,扫描伪影(例如边缘模糊导致的影像质量下降)可透过裁切CT影像边缘来解决。裁剪后的体积由1651×751×53体素矩阵组成,每个体素的分辨率为112μm。图15总结了CT扫描结果,显示与SSC相比,PSC和CHSC分别将铸件整体缺陷减少了56%和99.5%。显然,CHSC能够生产出更干净、更致密的铸件,并展现出更优异的零件性能(5.4节)。

Placeholder image

图 15. (a) SSC (b) PSC (c) CHSC (d)三种浇口设计的空隙空间比较的 CT 扫描


5.3 微观结构与夹杂物表征


抛光试样的微观结构在三种浇口设计中保持一致,因为凝固速率不受浇口形状影响。图16展示了 SSC、PSC 和 CHSC 的典型微观结构。在图中,散布在基体中的深色圆形区域即为本研究关注的夹杂物。

对这些夹杂物进行 EDS 分析表明,它们主要是高硅铝含量的氧化物,同时还检测到显著的硫和锰元素。图17显示,在三种浇注条件下,夹杂物的元素组成相似。综合分析表明,这些铸造缺陷主要为氧化物夹杂物,并属于再氧化形成的宏观夹杂物[67](详见第6.1节)。这些夹杂物的形成主要源于浇注过程中熔体湍流引起的氧化作用。

Placeholder image

图 16. SEM 显微照片显示了 (a) SSC (b) PSC (c) CHSC 样品中的夹杂物;(d) 微观结构中夹杂物面积百分比的比较

Placeholder image

图17 夹杂物元素组成比较

每个样品拍摄了 10 张扫描电子显微镜(SEM)影像,用于统计评估微观结构中夹杂物的分布。利用影像分析软件 ImageJ [68] 对这些影像进行分析,图16(d)总结了夹杂物分布的统计结果。观察结果显示,与 SSC 相比,PSC 和 CHSC 的夹杂物面积分别减少了 21% 和 35%。单因子方差分析(ANOVA)统计检验的 p 值为 0.044,表明浇口设计对夹杂物分布具有显著影响(α = 0.05)。Tukey-Fisher 多重比较检验进一步确认 CHSC 与 SSC 的平均值存在显著差异。


5.4 抗弯强度


三种铸件的极限抗弯强度如图18所示。结果表明,与 SSC 相比,CHSC 的机械强度提高了 8.4%。由于样本量有限(n = 4),数据无法假定服从正态分布,因此采用非参数 Friedman 方差分析检验 SSC 与 CHSC 之间的差异。两项检验的 p 值为 0.045,表明 SSC 与 CHSC 的极限抗弯强度在统计学上具有显著差异,而 SSC 与 PSC 之间未观察到显著差异。

Placeholder image

图18 三种浇口设计铸件极限弯曲强度比较


6. 讨论


6.1 建模与实验观察的相关性


基于 FLOW-3D 的 SSC 浇口设计优化模拟结果与实时 X 射线成像实验[33]高度一致。本研究中,SSC 浇注的填充模拟显示,当金属从浇口进入铸件时,喷流方向指向浇口(图19(a))。然而,这与铝合金研究[33,65]及灰铸铁实验[45]的观察结果相反,在那些研究中,喷流几乎总是远离浇口(图19)。

这种差异可归因于液态钢的动力黏度约为液态铝的两倍,使熔融钢主要处于低黏度层流状态,而非 Sirrel 等人[65]定义的湍流状态。当来自流道延伸部分的上覆层流反射波未与下方湍流混合时,会形成向浇口的喷泉现象[65]。此外,本研究使用的浇口长度为 185 mm,远小于铝合金参考研究中的 410 mm[65],因此液态金属在本研究的流道和浇口中不会经历如此高程度的湍流。

Placeholder image

图19 CFD 仿真与实时 X 射线观察的喷泉模式比较
(a) SSC;(b) PSC;(c) CHSC;(d) 铝(改编自 [65]);(e) 铝(改编自 [33]);(f) 灰铸铁(改编自 [45])

当脱氧钢在浇注和填充过程中暴露于空气或氧气时,会形成再氧化夹杂物,亦称“新生氧化膜”。据估计,低合金钢和高合金钢铸件中宏观夹杂物的产生分别占 83% 和 48%[69],且已有广泛文献对该现象进行了研究[70]。

“新生”氧化膜是在填充过程中产生的固有非金属夹杂物,其形态可能为缠结或网状、层状或球状氧化物,亦或是云状或条状聚集颗粒[71]。本研究的 SEM 结果显示,在 17-4 不锈钢合金中,这些夹杂物呈球状氧化物形态。能谱分析(EDS)进一步证实其为硅、铝和锰的氧化物,这与美国钢铁铸造协会(SFSA)的研究一致[72,73]。研究发现,氧化铝和硅酸盐在钢的再氧化及非金属夹杂物形成过程中普遍存在[74,75]。

光发射光谱法(OES)测得的浇注前化学成分与 EDS 测得的浇注后母材化学成分相似(表3),其中碳成分的差异主要由浇注过程中的污染造成。在 17-4 不锈钢合金中,这些夹杂物会通过在断裂面上引发裂纹而影响铸件的机械强度[76]。

Placeholder image

6.2 铸造性能的改进


基于本研究采用 112 μm 体素分辨率的 CT 扫描,所观察到的铸造缺陷主要处于宏观尺度。CT 扫描中显示的缺陷可能来源于空气滞留、凝固收缩、溶解气体、浇注过程中产生的熔渣和炉渣,以及未排气型芯或模壁反应产生的气孔[72]。

虽然铸件表面整体均匀,但孔隙的频率和尺寸在铸件中心平面附近显著增大。图20比较了三种浇口设计下孔隙沿板厚方向的分布情况,观察发现孔隙分布呈高斯型,高斯平均值位于铸件中平面。这一结果验证了“中心线收缩”现象,其原因是铸件从模壁开始定向凝固,并向中心推进。

具体来看,SSC 浇注的最大中心线缺陷面积约为 1.5%,PSC 浇注约为 0.6%,而在 CHSC 浇注中,此类缺陷几乎可以忽略不计,显示出新型浇注设计在减少中心线孔隙方面的显著优势。

Placeholder image

图20 三种浇注设计铸件板材厚度方向的铸造缺陷分布(符合高斯分布)

与 SSC 相比,CHSC 微观结构中总夹杂物面积的减少可能来源于两种因素:(1)夹杂物总数减少,或(2)单个夹杂物平均尺寸减小。通过单因子方差分析(ANOVA)统计检验了 SSC、PSC 和 CHSC 三组之间的差异,结果汇总于表4。

分析结果显示,各组之间夹杂物数量无显著统计学差异。然而,SSC 与 CHSC 之间平均夹杂物面积的 p 值远小于 0.05,SSC 与 PSC 之间的 p 值为 0.042。这表明,相较于 SSC,采用抛物线型或锥螺旋型等复杂浇口轮廓的重新设计可显著减小夹杂物的平均尺寸。

研究表明,夹杂物尺寸会随着湍流强度和再氧化作用的增强而增大[73]。因此,本研究得出结论:通过数学优化设计的浇口轮廓能够有效降低湍流,从而降低熔融金属温度、减少收缩,并显著减少铸件中的再氧化夹杂物。

Placeholder image

6.3 过滤器对非常规浇口的影响


为分离熔体中的固有夹杂物,本研究在另一组实验中使用了由部分稳定氧化锆制成的 3×3×1 全烧结网状陶瓷过滤器[77]。在三种浇口设计中,均将过滤器插入浇口顶部,以期在熔体进入后续浇注系统前去除不必要的悬浮相[78]。

图21显示,对于此特定过滤器位置和浇口设计,过滤与未过滤铸件在夹杂物分布及弯曲强度上均未表现出显著差异。这可能是因为陶瓷过滤器在熔体流动过程中通过撕裂和缠绕氧化膜反而增加了下游夹杂物数量,从而引入更多缺陷[20]。

为研究浇注系统设计对晶粒结构的影响,按照 ASTM E407 标准[79]对 SSC 和 CHSC 过滤铸件样品进行抛光,并用 Vilella 试剂(1 g 苦味酸、100 mL 乙醇、5 mL 盐酸)进行腐蚀。结果显示,晶粒结构无显著差异。这与已知结论一致:晶粒尺寸主要取决于凝固速率,而凝固速率不受浇注系统设计的影响。

Placeholder image

图 21. (a) 在模具浇口顶部插入过滤器 (b) 过滤后的 SSC (c) 过滤对极限弯曲强度没有显著影响 (d) 蚀刻过滤后的 SSC 的微观结构 (e) 蚀刻过滤后的 CHSC 的微观结构 (f) 过滤对氧化物夹杂面积没有显著影响


6.4 优化算法的新颖性和可行性


如前所述,浇注道长度存在最大值,超过该长度时,由于热能损失,金属会在浇注系统中提前凝固,无法完全填充铸件。为验证这一极限,作者设计了一种类似流动性测试的方法[80],但螺旋型腔是针对浇注道而非铸件设计的,如图22所示。

利用 3D 砂模打印技术制造了两种模具,分别具有水平分型线和垂直分型线(对应图8 中的类别1和类别2),并采用 17-4 不锈钢合金进行浇注。实验结果表明,在两种模具中,液态金属在浇注道中流动约 1200 mm 后均发生凝固。该结果验证了所开发优化算法在浇注道设计中的有效性与可重复性,证明了算法可行且具有实际应用价值。

Placeholder image

图 22. 使用浇口优化和 3D砂模打印 模具的流动性螺旋测试

通过降低熔体流动中的湍流强度,锥形螺旋浇口(CHSC)还能显著减少模壁(砂型)的侵蚀。图23对比了 SSC 与 CHSC 浇口铸件的表面形貌:在 SSC 中,由于熔体湍流,模壁受到明显侵蚀,导致砂型严重磨损;而在 CHSC 中,由于熔体以层流方式平稳填充,铸件表面未观察到砂型侵蚀现象,显示出更好的模具保护效果。

Placeholder image

图 23. SSC 和 CHSC 铸态表面的比较表明,静置填充的 CHSC 没有砂粒侵蚀。

为验证锥形螺旋浇口(CHSC)的可制造性,作者目前正在测试对湍流敏感性不同的金属合金,包括铝、17-4 不锈钢和灰铸铁。已知铝对湍流的敏感性高于灰铸铁和不锈钢。图24 展示了三种金属在锥形螺旋浇口中的可行性情况,结果表明该设计在不同材料中均可实现顺利填充,证明了其广泛的适用性和制造可行性。

Placeholder image

图 24. 展示优化的锥形螺旋浇口的可制造性,适用于 (a) 铝 319 合金 (b) 17-4 不锈钢合金 (c) 30 Gy 级铸铁


7. 结论


本研究首次利用 3D 砂模打印(3DSP)技术的设计自由度,对浇口进行重新设计。浇口作为浇注系统的重要组成部分,其作用是调控熔体流动。本研究开发了新型浇口轮廓——拋物线形(PSC)和锥形螺旋形(CHSC)——的数值模型和优化算法,以减少表面湍流引起的铸造缺陷。这些经过验证的数值模型改进了传统铸造流体动力学原理,通过最大限度降低模具填充过程中的热能损失,同时限制浇注系统中熔体的流动速度。利用 3D 砂模打印技术制作了三种浇口模具(PSC、CHSC 以及对比用的直浇口 SSC),并使用 17-4 PH 不锈钢熔体进行了浇注。通过计算流体动力学(CFD)模拟、计算机断层扫描(CT)、扫描电子显微镜(SEM)、能谱分析(EDS)和三点弯曲试验,对浇注道设计的铸造性能进行了综合分析。主要结论如下:


(1) CFD 模拟显示,优化的拋物线浇注道(PSC)和锥形螺旋浇注道(CHSC)设计均能降低模具填充过程中金属表面湍流,使速度维持在临界值以下。
(2) CT 扫描结果表明,采用 CHSC 浇注道设计可使铸件缺陷体积减少 99.5%,并验证了铸件中心线收缩现象,即铸件缺陷沿板材厚度方向呈高斯分布。
(3) 夹杂物和机械性能分析显示,与 SSC 铸件相比,CHSC 浇注道铸件的夹杂物显著减少,极限弯曲强度显著提高。主要夹杂物为氧化铝、二氧化硅和锰氧化物组成的球状颗粒,其化学组成不受浇口设计影响。
(4) 制造可行性验证了 CHSC 浇口设计的可制造性,包括通过新型混合成型平台实现复杂三维浇口结构。


未来工作将包括测量弯曲损失因子以纳入水头损失公式,并利用冲击、拉伸、压缩、断口分析、疲劳、电子背散射衍射(EBSD)及表面粗糙度测试等手段,进一步研究浇注系统重新设计对铸造性能的影响。此外,正在开展的工作包括将微型物联网(IoT)传感器嵌入 3D 砂模打印模具,以实现实时制程监控。

© 2024 FLOW SCIENCE CHINA  |  沪ICP备18047081号-1  |  苏公网安备32059002002514号